STIMA ANALITICA DELLA CURVA RHR

La curva RHR rappresenta il tasso di rilascio termico (o Heat Release Rate – HRR) ovvero l’energia termica emessa da un focolare o da un incendio per unità di tempo, quasi sempre espressa in kW(sec). Il concetto di RHR fornisce maggiori indicazioni rispetto al concetto di carico incendio, il primo, infatti, prende in esame il rilascio d’una potenza termica, ossia un parametro strettamente legato allo sviluppo dell’incendio reale; il carico d’incendio, invece, è riferito ad un’energia rilasciata, senza riferimenti al tempo di combustione. Si pensi come, infatti, uno stesso carico di incendio possa bruciare con differenti velocità a seconda delle particolari condizioni che si instaurano, dipendenti sia dal materiale (quantitativo, tipologia, pezzatura, ecc) che dall’ambiente in cui è inserito (volumetria, apertura, ambiente aperto, ecc), dando origine a temperature nel locale coinvolto anche molto diverse da caso a caso. Inoltre, per il carico incendio la stima della temperatura risulta molto conservativa in quanto si presuppone che tutto il combustibile presente partecipi alla combustione, quindi stiamo descrivendo la dinamica dell’incendio solo nella fase di post flashover. Questi sono i principali motivi per cui l’RHR rappresenta uno dei parametri di input dei modelli a zona ed al tempo stesso un parametro di output quando andiamo a controllare il tasso di energia termica totale del dominio di calcolo.
L’incendio si può schematizzare come una sorgente di tipo volumetrico, ossia un bruciatore che rilascia calore (HRR), quantità di fumo e di gas. I valori assunti dal progettista per la costruzione della curva HRR per un dato scenario devono essere opportunamente giustificati.
La curva RHR è una schematizzazione semplificata dell’incendio naturale, con l’individuazione di tre fasi: iniziale (che rappresenta la propagazione dell’incendio ed è di forma quadratica), intermedia (che rappresenta l’incendio stazionario ed è di tipo costante) e finale (intesa come la fase di estinzione dell’incendio che è di tipo lineare).

Durante l’evoluzione di un incendio il valore dell’RHR, ad un determinato istante temporale t, è dato dal prodotto fra il valore del potere calorifico H del combustibile e quello della velocità mc di combustione:
RHR (t) = mc (t) · H
Quindi la potenza termica rilasciata è direttamente proporzionale alla velocità di combustione ovvero alle dinamiche della combustione. L’area sottesa dalla curva RHR (in ascissa il tempo e in ordinata la potenza termica [KW] = [kJ s-1]) rappresenta il carico d’incendio [kJ], ovvero l’energia disponibile per essere rilasciata.
Se volessimo fare un confronto tra la curva naturale di un incendio e l’RHR in funzione del tempo possiamo far riferimento alle Figure 5.8 – 5.9.

Possiamo riassumere le fasi che caratterizzano un incendio in 4 fasi:
- Ignizione: rappresenta la fase iniziale in cui un materiale combustibile inizia il processo della combustione che in questa fase è governato principalmente dal bilancio termico della reazione;
- Fase di propagazione: una volta stabilizzata la reazione di combustione, si nota una marcata tendenza all’estensione dell’incendio, associata ad un rapido aumento della temperatura ambientale;
- Fase d’incendio generalizzato: quando la temperatura ambientale tende all’uniformità e raggiunge valori compresi fra 500 °C e 600 °C, in dipendenza delle caratteristiche del compartimento e dei materiali combustibili in esso contenuti, si ha il cosiddetto punto critico ovvero punto di completo sviluppo dell’incendio (flashover); il termine flashover si usa per indicare l’accensione improvvisa dei gas accumulatisi nella parte alta d’un locale, durante l’incendio, ovvero una fase dello sviluppo di un incendio al chiuso nel quale tutte le superfici esposte raggiungono la temperatura di accensione piò o meno contemporaneamente ed il fuoco si propaga rapidamente in tutto il compartimento. Il flashover coincide con il primo punto di flesso della curva e tutto il materiale combustibile presente nel locale investito dall’incendio prende fuoco contemporaneamente;
- Fase d’estinzione e raffreddamento: il progressivo esaurimento del combustibile determina la riduzione dell’emissione termica da parte dell’incendio, il quale diminuisce gradualmente d’intensità, fino a giungere all’estinzione. L’incendio può essere considerato estinto quando la temperatura dell’ambiente è scesa al di sotto dei 300 °C, potendosi ragionevolmente escludere improvvisi inneschi o ritorni di incendio.
Possiamo sintetizzare gli effetti delle fasi dell’incendio sui materiali coinvolti e sulle persone con la schematizzazione riportata in Tabella 5.4 (Fasi dell’incendio sui materiali coinvolti e sulle persone).

Per la curva RHR (riferimento Figura 3) il flashover si trova nella fase di propagazione (tra la parte 1 e 2 della curva crescente) e questo si raggiunge solamente se vi sono combustibili con adeguata pezzatura e quantità. È inoltre importante per raggiungere il flashover anche una sufficiente superficie di ventilazione; nel caso in cui il quantitativo di combustibile e di comburente non sono sufficienti per il raggiungimento del flashover la curva decresce rapidamente (curva rossa tratteggiata in Figura 3).
Dopo il raggiungimento della potenza termica del flashover RHRF avremo un ulteriore crescita della curva, fino al raggiungimento del picco RHRmax. Generalmente queste prime fasi di propagazione (1 e 2) sono controllate dal combustibile, mentre la fase successiva di incendio stazionario (3) è sempre controllata dalla ventilazione.
Raggiunto RHRmax si instaura una fase di velocità di combustione costante pari al massimo valore che può essere raggiunto in relazione alle superfici di aerazione. Infine, vi è la fase di decadimento per esaurimento del combustibile (4) che termina con l’estinzione dell’incendio.
Non ci manca che descrivere le relazioni analitiche necessarie per ricostruire le tre fasi della curva di rilascio termico, secondo la trattazione del paragrafo M.2.6 del Codice di Prevenzione Incendi.
FASE DI PROPAGAZIONE DELL’INCENDIO
Durante la fase di propagazione, la potenza termica rilasciata dall’incendio nel tempo può essere rappresentata da una funzione crescente parabolica del tipo:
RHR(t) = 1000 (???)2 per t< tA
I valori rappresentano:
RHR(t): potenza termica rilasciata dall’incendio [kW];
t: tempo [s]
tα: tempo affinché RHR raggiunga 1000 kW [s]. Questo tempo può essere determinato dalla tabella seguente in funzione del parametro δα = velocità caratteristica prevalente di crescita dell’incendio.
Tabella 2 – Velocità caratteristica prevalente di crescita dell’incendio (Tabella G.3.-2 D.M. 3/8/2015)

In letteratura e più in particolare nell’ Eurocodice EN 1991-1-2 tale valore è espresso per varie tipologie di attività come ad esempio:

Figura 4 – Cambiamento del grafico RHR(t) in funzione degli impianti di protezione attiva

Con sistemi di controllo dell’incendio automatici (es. sprinkler), RHR(t) non raggiunge RHRmax, che poteva raggiungere in base a combustibile e ambiente e in questo caso RHR può essere assunto costante, pari a RHR(tx) raggiunto all’istante tX di entrata in funzione dell’impianto. Il valore permane per un tempo pari alla durata di alimentazione prevista, entro cui si presume che l’incendio controllato venga estinto con l’intervento manuale. (Riferimento grafico in rosso della Figura 5.10)
Se nell’attività sono previsti sistemi automatici di estinzione completa dell’incendio (es. sprinkler ESFR, water mist, ecc.), il loro effetto deve essere valutato caso per caso in relazione alla loro efficacia ed all’affidabilità di funziona-mento. (Riferimento grafico in verde della Figura5.10)
A differenza dell’attivazione dei sistemi automatici, l’intervento manuale effettuato dalle squadre antincendio non può essere considerato in fase progettuale ai fini della modifica dell’andamento della curva RHR(t).
FASE DELL’INCENDIO STAZIONARIO
Nella maggioranza dei casi l’energia termica potenzialmente contenuta nel compartimento antincendio è sufficiente a produrre la condizione di flashover e si ipotizza che, anche dopo il flashover, la curva cresca con andamento ancora proporzionale a t2 fino al tempo tA che corrisponde alla massima potenza RHRmax rilasciata dall’incendio nello specifico compartimento antincendio. Se nell’attività non sono previsti impianti di controllo o estinzione automatica dell’incendio, si suppone che dal tempo tA fino a tB la potenza termica prodotta dall’incendio si stabilizzi al valore massimo RHRmax che sarà pari a:
RHR(t)=RHRmax per tA ⩽ t < tB
Dove per tB si intende il tempo finale della fase stazionaria dell’incendio, e coincide con l’inizio della fase di decadimento.
La valutazione di RHRmax varia a seconda che l’incendio risulti controllato dal combustibile o dalla ventilazione. Nel primo caso, per incendio controllato dal combustibile, come avviene per incendi all’aperto o in edifici con elevata superficie di ventilazione, il valore di RHRmax può essere fornito dalla relazione:
RHRmax=RHRf · Af
dove:
– RHRf rappresenta il valore della potenza termica massima rilasciata per unità di superficie lorda. Questa quantità esprime la massima velocità di rilascio di calore prodotta da 1m2 di fuoco in caso di incendio controllato dal combustibile. Riportiamo in seguito il prospetto E.5 dell’Eurocodice UNI EN 1991-1-2 dove viene specificato il valore per alcune attività:

– Af rappresenta la superficie lorda del compartimento in caso di distribuzione uniforme del carico d’incendio, oppure superficie lorda effettivamente occupata dal combustibile in caso di incendio localizzato.
Nel secondo caso invece, ovvero per incendio controllato dalla ventilazione, come avviene in edifici con superficie di ventilazione ordinaria, è l’ossigeno che regola la combustione, ed anche per alte quantità di combustibile questo non può bruciare adeguatamente per la limitata risorsa di comburente. In tal caso, se le pareti del compartimento presentano solo aperture verticali, è possibile determinare il valore di RHRmax ridotto tramite la seguente espressione semplificata:
RHRmax = 0,10 · m · Hu · Av · √???
I vari termini dell’espressione valgono:
– m: fattore di partecipazione alla combustione del materiale pari a 0,8 per il legno o altri materiali di natura cellulosica ed 1 per altri materiali combustibili;
– Hu: potere calorifico inferiore del legno pari a 17500 kJ/kg;
– Av: area totale delle aperture verticali su tutte le pareti del compartimento espressa in m2;
– heq: altezza equivalente delle aperture verticali, che si calcola con la seguente relazione:

– Av,i : area dell’apertura verticale i-esima [m2]
– hi: altezza dell’apertura verticale i-esima [m]
Una volta calcolato il valore di RHRmax possiamo calcolare i tempi tA e tB di inizio e fine della fase stazionaria dell’incendio:

Il grafico del tasso di rilascio termico non sempre è costituito dalle tre fasi della Figura 5.10 e può presentare delle forme differenti, come nel caso in cui si raggiunge il valore massimo di RHRmax al tempo tA susseguito dalla fase di decadimento, quindi in assenza della fase di incendio stazionario. Riportiamo nella Figura 5.11 le varie tipologie di grafico RHR(t).
Figura 5 – Varie tipologie di grafico RHR(t)

Caso (1): incendio che non presenta la fase stazionaria, ma raggiunto RHRmax decresce;
Caso (2): incendio tipico con susseguirsi delle tre fasi ma con fase di propagazione lineare;
Caso (3): incendio costante nel tempo al valore di RHRmax ;
Caso (4): incendio tipico con susseguirsi delle tre fasi ma con fase di propagazione di tipo parabolica.
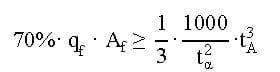
Il presentarsi del Caso (1) o del Caso (2) dipende dalla percentuale di energia termica ancora disponibile dopo la fase di propagazione dell’incendio. In particolare, la Norma specifica che se l’energia termica inizialmente disponibile è sufficiente affinché l’incendio superi la fase di propagazione e raggiunga la potenza massima RHRmax, allora si verifica che:

Se il primo termine è maggiore del secondo allora siamo nel Caso (2) o (4) ed il tempo tB di fine della fase di incendio stazionario si calcola con la seguente espressione:

Dove qf rappresenta il carico di incendio specifico espresso in kJ/m2.
Se l’energia termica inizialmente disponibile non è sufficiente affinché l’incendio superi la fase di propagazione, la curva RHR raggiunge il valore massimo per qualche secondo poi passa direttamente alla fase di decadimento, quindi siamo nel Caso (1) con tA = tB.
FASE DI DECADIMENTO
Il tempo tC, trascorso il quale la potenza termica rilasciata dall’incendio si annulla, viene calcolato considerando che nella fase di decadimento è consumato il restante 30% dell’energia termica inizialmente disponibile. Possiamo calcolare il tempo con potenza termica nulla tC con l’espressione:

Durante la fase di decadimento l’andamento della potenza prodotta dall’incendio è lineare ed il suo valore al variare del tempo vale specificatamente:

Dopo aver definito la metodologia per poter ricostruire la curva di rilascio termico si potrà finalmente passare alla definizione degli scenari d’incendio utilizzati per la verifica degli obiettivi della sicurezza.
Il software CPI win FSE consente di gestire un progetto di Fire Safety Engineering, con la possibilità di stimare la curva RHR sulla base del carico di incendio e della superficie dell’edificio secondo quanto previsto nella sezione M del D.M. 03/08/2015.
Il software CPI win Attività consente di poter gestire le pratiche da presentare ai VV.F anche secondo il D.M. 03/08/2015. E’ possibile per le varie strategie antincendio scegliere tra applicare una soluzione conforme o utilizzare i metodi dell’ingegneria antincendio per l’analisi delle soluzioni alternative in grado di soddisfare i livelli di prestazione selezionati.
CPI WIN® Attività – SCENARI ANTINCENDIO, realizzato grazie alla preziosa e competente consulenza dell’ing. Fabio Dattilo (Direzione Regionale VVF Veneto, ndr) consente di superare tutte le difficoltà insite nell’interpretazione del “Nuovo Codice di Prevenzione Incendi”, con un approccio più immediato che permette un controllo a 360° del progetto e di scegliere gli interventi più adatti, e anche meno onerosi, per garantire i requisiti minimi di sicurezza richiesti.
Questo grazie alle seguenti possibilità offerte dal modulo:
- Dato uno stato di fatto (reale o progettuale), il software consente di individuare immediatamente (con appositi messaggi) tutti gli interventi necessari a raggiungere i livelli di prestazione prefissati dall’utente, nelle ipotesi di scenari con obiettivi strategici diversi; in questo modo sarà possibile scegliere la migliore situazione fra tutte quelle proposte dal software e valutarne l’impatto anche dal punto di vista economico;
- Data una tipologia di attività, il software permette di eseguire un confronto fra le richieste normative previste dalla metodologia prescrittiva e da quella prestazionale. Grazie al confronto il professionista potrà avere un quadro chiaro degli interventi necessari nelle due situazioni e scegliere la strada da seguire in funzione delle reali esigenze, della invasività degli interventi e infine dei costi valutati ad essi conseguenti.
L’analisi degli interventi migliorativi consente quindi di analizzare l’interazione fra le varie strategie al variare di un dato sensibile, al fine di effettuare un confronto fra i livelli di prestazione effettivi ed i livelli di prestazione derivati dal cambiamento di un dato. Il modello di attività consente inoltre di evidenziare quali sono i requisiti minimi da rispettare per ottenere il livello di prestazione inserito per ciascuna strategia antincendio in rapporto al profilo di rischio impostato e tenendo conto delle interferenze fra le varie soluzioni possibili.
Per Namirial
A cura di Ing. Donatello Calabrese
Tratto dalla tesi di laurea:
Progettazione antincendio con il metodo della Fire Safety Engineering: caso di studio di un ampliamento di un’attività commerciale con autorimessa interrata
Ing. Donatello Calabrese – Università di Pisa – Scuola di Ingegneria

